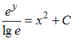
Общее решение дифференциального уравнения
Изображение вопроса Общее решение дифференциального уравнения 
  
 име...
имеет вид …
• 
• 
• 
• 
Тема: Дифференциальные уравнения с разделяющимися переменными
Предмет: Математика