Математика – страница 17
Производная функции
равна …
равна …Множество первообразных функции
имеет вид …
имеет вид …Предел
равен …
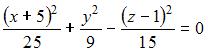
равен …Даны уравнения поверхностей второго порядка:
А)
B)
C)
D)
Тогда двуполостный гиперболоид задается уравнением …
А)

B)

C)

D)

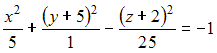
Тогда двуполостный гиперболоид задается уравнением …
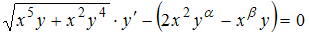
Дифференциальное уравнение
будет однородным дифференциальным уравнением первого порядка при
, равном …
будет однородным дифференциальным уравнением первого порядка при
, равном …Уравнение
является …
является …Общее решение линейного однородного дифференциального уравнения второго порядка
имеет вид …
имеет вид …Общее решение дифференциального уравнения
имеет вид …
имеет вид …Общее решение системы дифференциальных уравнений
имеет вид …
имеет вид …Функция
является общим решением дифференциального уравнения 1-го порядка. Тогда для начального условия
частное решение этого уравнения имеет вид …
является общим решением дифференциального уравнения 1-го порядка. Тогда для начального условия
частное решение этого уравнения имеет вид …
равна …
и
перпендикулярны при значении
, равном …
и
…
,
и
лежат на одной прямой. Тогда точка
делит отрезок
в отношении …