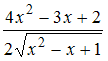
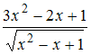
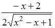
Производная функции Изображение вопроса Производная функции  равна …... равна …
• 
• 
• 
• 
Тема: Производные первого порядка
Предмет: Математика