Математика – страница 165
1 
На рисунке приведено геометрическое изображение комплексного числа. Его показательная форма записи имеет вид …

На рисунке приведено геометрическое изображение комплексного числа. Его показательная форма записи имеет вид …
Общее решение дифференциального уравнения
имеет вид…
имеет вид…Если, используя эквивалентные бесконечно малые последовательности, вычислить
, то результат равен …
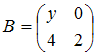
, то результат равен …Ранг матрицы
равен …
равен …Уравнение вертикальной асимптоты графика функции
имеет вид …
имеет вид …
и верхний
пределы последовательности
, где
, соответственно равны …
;
.
;
.
;
–
,
,
,
наибольшее значение предела при
имеет последовательность …
;
–
,
,
,
сходящимся является …
,
,
. Если выполняется равенство
, то
равно …