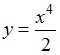
Решение задачи Коши
Изображение вопроса Решение задачи Коши 
   
 имеет вид …... 
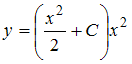
имеет вид …
• 
• 
• 
• 
Тема: Линейные неоднородные дифференциальные уравнения 1-го порядка
Предмет: Математика