Математика – страница 163
Методом Эйлера с шагом
решается задача Коши для системы дифференциальных уравнений

с начальными условиями
,
.
Тогда значения искомых функций
и
равны …
решается задача Коши для системы дифференциальных уравнений 
с начальными условиями
,
.Тогда значения искомых функций
и
равны …Общее решение линейного однородного дифференциального уравнения второго порядка
имеет вид …
имеет вид …Поле направлений дифференциального уравнения
занимает заштрихованную область координатной плоскости …
занимает заштрихованную область координатной плоскости …Разложение в ряд Маклорена функции
имеет вид:
.
Тогда разложением в ряд по целым неотрицательным степеням переменной х функции
является …
имеет вид:
.
Тогда разложением в ряд по целым неотрицательным степеням переменной х функции
является …Даны последовательности действительных чисел:
1)
,
2)
,
которые исследуются с помощью критерия Коши.
Тогда истинным является утверждение, что …
1)
,2)
,которые исследуются с помощью критерия Коши.
Тогда истинным является утверждение, что …
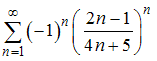
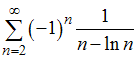
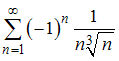
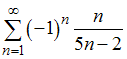
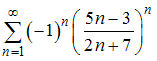
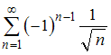
Сумма ряда
равна …
равна …
имеет вид …
решается задача Коши
.
искомой функции равно …
,
имеет вид …



, где
, имеет вид …
решать задачу Коши
,
искомой функции будет равно …
;
.
фигуры, ограниченной параболами
и
, равен …


