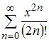
Разложение в ряд Маклорена функции
имеет вид:
.
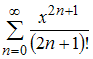
Тогда разложением в ряд по целым неотрицательным степеням переменной х функции
является …
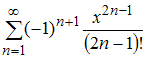
имеет вид:
.
Тогда разложением в ряд по целым неотрицательным степеням переменной х функции
является …• 

• 

• 

• 
