Математика – страница 161
Имеется три группы студентов: в первой 15 человек, во второй 20 человек, в третьей 10 человек. Количество способов выбора тройки студентов, в которой по одному студенту из каждой группы равно …
Горизонтальной асимптотой графика функции
является прямая, определяемая уравнением …
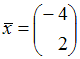
является прямая, определяемая уравнением …Линейное отображение задано в стандартном базисе матрицей
. Тогда координатами образа вектора
являются …
. Тогда координатами образа вектора
являются …А и В – случайные события. А и В независимы, если выполнено …
В пространстве имеется отрезок, соединяющий две точки с абсциссами одинаковых знаков. Тогда этот отрезок не может пересекать …
Ортогональной к функции
на [-1; 1], является функция …
на [-1; 1], является функция …Направление наибыстрейшего возрастания функции
определяется вектором …
определяется вектором …Градиент скалярного поля
равен …
равен …

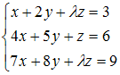
совместна и неопределенна, если
равно …
на [-
;
], не является функция …
…