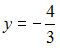
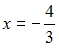
Горизонтальной асимптотой графика функции Изображение вопроса Горизонтальной асимптотой графика функции  являетс... является прямая, определяемая уравнением …
• 
• 
• 
• 
Тема: Асимптоты графика функции
Предмет: Математика