Математика – страница 159
Проведено 5 измерений (без систематических ошибок) некоторой случайной величины (в мм): 7, 8, 9, 11, 12. Тогда несмещенная оценка математического ожидания равна …
По оценкам экспертов вероятности банкротства для двух предприятий, производящих разнотипную продукцию, равны 0,2 и 0,15. Тогда вероятность банкротства обоих предприятий равна …
В пространстве имеется отрезок, соединяющий две точки с нулевыми абсциссами. Тогда этот отрезок целиком лежит …
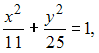
Если уравнение эллипса имеет вид
то длина его большей полуоси равна …
то длина его большей полуоси равна …В почтовом отделении продаются открытки 16 видов. Требуется выбрать 4 различные открытки. Тогда количество способов выбора равно …
Дано дифференциальное уравнение
при
. Тогда первые три члена разложения его решения в степенной ряд имеют вид …
при
. Тогда первые три члена разложения его решения в степенной ряд имеют вид …Условие истинности высказывания
можно записать в виде …
можно записать в виде …Закон движения материальной точки имеет вид
, где
– координата точки в момент времени
. Тогда ускорение точки при
равно …
, где
– координата точки в момент времени
. Тогда ускорение точки при
равно …
, тогда
равно …
…
, то коэффициент а6 разложения данной функции в ряд Тейлора по степеням
равен …