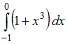
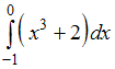
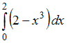
Площадь фигуры, изображенной на рисунке,
Изображение вопроса Площадь фигуры, изображенной на рисунке, 
  
 опре...
определяется интегралом …
• 
• 
• 
• 
Тема: Приложения определенного интеграла
Предмет: Математика