Математика – страница 158

С первого станка на сборку поступает 20% , со второго – 30%, с третьего – 50% всех деталей. Среди деталей первого станка 4% бракованных, второго – 3%, третьего – 2%. Тогда вероятность того, что поступившая на сборку деталь качественная, равна …



Размах варьирования вариационного ряда  –1, 0, 2, 3, 4, 5, 7, 8, 10, 12, 14  равен …

На отрезке Изображение вопроса На отрезке  непрерывна функция …... непрерывна функция …

Векторы Изображение вопроса Векторы ,  и  компланарны, если параметр  равен &#..., Изображение вопроса Векторы ,  и  компланарны, если параметр  равен &#... и Изображение вопроса Векторы ,  и  компланарны, если параметр  равен &#... компланарны, если параметр Изображение вопроса Векторы ,  и  компланарны, если параметр  равен &#... равен …


Имеются две урны, содержащие по 8 белых и 2 черных шара, и восемь урн, содержащих по 3 белых и 7 черных шаров. Из наудачу взятой урны вытаскивается один шар. Тогда вероятность того, что этот шар черный, равна …

Плоскости Изображение вопроса Плоскости  и  перпендикулярны при значении m, равн... и Изображение вопроса Плоскости  и  перпендикулярны при значении m, равн... перпендикулярны при значении m, равном …

Функция Изображение вопроса Функция , заданная на отрезке  является четной. То..., заданная на отрезке Изображение вопроса Функция , заданная на отрезке  является четной. То... является четной. Тогда разложение этой функции в ряд Фурье может иметь вид …

Радиус сходимости степенного ряда Изображение вопроса Радиус сходимости степенного ряда  равен 4. Тогда ... равен 4. Тогда интервал сходимости имеет вид …


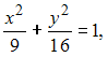
Если уравнение эллипса имеет вид Изображение вопроса Если уравнение эллипса имеет вид  то длина его мен... то длина его меньшей полуоси равна …

Дана функция Изображение вопроса Дана функция , . Тогда коэффициент b5 разложения  ..., Изображение вопроса Дана функция , . Тогда коэффициент b5 разложения  .... Тогда коэффициент b5 разложения Изображение вопроса Дана функция , . Тогда коэффициент b5 разложения  ... в ряд Фурье равен …

Игральная кость бросается один раз. Тогда вероятность того, что на верхней грани выпадет не менее трех очков, равна …