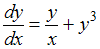
Из данных дифференциальных уравнений уравнениями Бернулли являются …
• 
• 
• 
• 
Тема: Типы дифференциальных уравнений
Предмет: Математика