Математика – страница 155

В группе 15 студентов, из которых 6 отличников. По списку наудачу отобраны 5 студентов. Тогда вероятность того, что среди отобранных студентов нет отличников, равна …

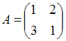
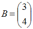
2 Если Изображение вопроса Если , , то решение матричного уравнения  имеет ви..., Изображение вопроса Если , , то решение матричного уравнения  имеет ви..., то решение матричного уравнения Изображение вопроса Если , , то решение матричного уравнения  имеет ви... имеет вид …

Градиент скалярного поля Изображение вопроса Градиент скалярного поля  равен нулевому вектору в... равен нулевому вектору в точке …

4 Если Изображение вопроса Если , то первые три (отличные от нуля) члена разл..., то первые три (отличные от нуля) члена разложения этой функции в ряд Маклорена  имеют вид …

Матрицы Изображение вопроса Матрицы  имеют одинаковую размерность. Если  ̵... имеют одинаковую размерность. Если Изображение вопроса Матрицы  имеют одинаковую размерность. Если  ̵... – единичная матрица того же размера, что и матрицы Изображение вопроса Матрицы  имеют одинаковую размерность. Если  ̵..., и матрица Изображение вопроса Матрицы  имеют одинаковую размерность. Если  ̵..., тогда верно равенство …

Даны два вектора: Изображение вопроса Даны два вектора:  и , где , , угол между векторам... и Изображение вопроса Даны два вектора:  и , где , , угол между векторам..., где Изображение вопроса Даны два вектора:  и , где , , угол между векторам..., Изображение вопроса Даны два вектора:  и , где , , угол между векторам..., угол между векторами Изображение вопроса Даны два вектора:  и , где , , угол между векторам... и Изображение вопроса Даны два вектора:  и , где , , угол между векторам... равен Изображение вопроса Даны два вектора:  и , где , , угол между векторам.... Тогда скалярное произведение векторов Изображение вопроса Даны два вектора:  и , где , , угол между векторам... и Изображение вопроса Даны два вектора:  и , где , , угол между векторам... будет равно …

В партии из 12 деталей имеется 5 бракованных. Наудачу отобраны три детали. Тогда вероятность того, что среди отобранных деталей нет годных, равна …

В первой урне 6 черных шаров и 4 белых шара. Во второй урне 2 белых и 8 черных шаров. Из наудачу взятой урны вынули один шар, который оказался белым. Тогда вероятность того, что этот шар вынули из первой урны, равна …


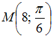
В полярной системе координат дана точка Изображение вопроса В полярной системе координат дана точка . Тогда ра.... Тогда расстояние от нее до полярной оси равно …

К графику функции Изображение вопроса К графику функции  в его точке с абсциссой  провед... в его точке с абсциссой Изображение вопроса К графику функции  в его точке с абсциссой  провед... проведена касательная. Тогда площадь треугольника, образованного касательной и отрезками, отсекаемыми ею на осях координат, равна …

Дан треугольник Изображение вопроса Дан треугольник . Точка  является серединой отрезк.... Точка Изображение вопроса Дан треугольник . Точка  является серединой отрезк... является серединой отрезка Изображение вопроса Дан треугольник . Точка  является серединой отрезк.... Векторы Изображение вопроса Дан треугольник . Точка  является серединой отрезк..., Изображение вопроса Дан треугольник . Точка  является серединой отрезк.... Тогда вектор Изображение вопроса Дан треугольник . Точка  является серединой отрезк... имеет координаты …



Даны три вектора: Изображение вопроса Даны три вектора: ,  и . Тогда вектор  при  равном..., Изображение вопроса Даны три вектора: ,  и . Тогда вектор  при  равном... и Изображение вопроса Даны три вектора: ,  и . Тогда вектор  при  равном.... Тогда вектор Изображение вопроса Даны три вектора: ,  и . Тогда вектор  при  равном... при Изображение вопроса Даны три вектора: ,  и . Тогда вектор  при  равном... равном …