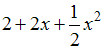
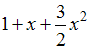
Если Изображение вопроса Если , то первые три (отличные от нуля) члена разл..., то первые три (отличные от нуля) члена разложения этой функции в ряд Маклорена  имеют вид …
• ,
• ,
• ,
• ,
Тема: Дифференциальные уравнения и ряды
Предмет: Математика