Математика – страница 149
Для дробно-рациональной функции
точками разрыва являются …
точками разрыва являются …Функция
, заданная на отрезке
является нечетной. Тогда разложение этой функции в ряд Фурье может иметь вид …
, заданная на отрезке
является нечетной. Тогда разложение этой функции в ряд Фурье может иметь вид …Три итерации метода половинного деления при решении уравнения
на отрезке
требуют последовательного вычисления значений функции
в точках …
на отрезке
требуют последовательного вычисления значений функции
в точках …Радиус сходимости степенного ряда
равен 5. Тогда интервал сходимости имеет вид …
равен 5. Тогда интервал сходимости имеет вид …Последовательность задана рекуррентным соотношением
;
. Тогда четвертый член этой последовательности
равен …
;
. Тогда четвертый член этой последовательности
равен …Событие А может наступить лишь при условии появления одного из двух несовместных событий
и
, образующих полную группу событий. Известны вероятность
и условные вероятности
Тогда вероятность
равна …
и
, образующих полную группу событий. Известны вероятность
и условные вероятности
Тогда вероятность
равна …
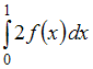
и
то интеграл
равен …


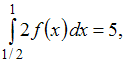
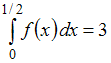
и
. Тогда
равно …
в точке
равно …



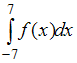
является нечетной на отрезке
. Тогда
равен …