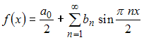
Функция
, заданная на отрезке
является нечетной. Тогда разложение этой функции в ряд Фурье может иметь вид …
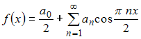
, заданная на отрезке
является нечетной. Тогда разложение этой функции в ряд Фурье может иметь вид …• 

• 

• 

• 

, заданная на отрезке
является нечетной. Тогда разложение этой функции в ряд Фурье может иметь вид …


