Математика – страница 148
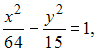
Если уравнение гиперболы имеет вид
то длина ее действительной полуоси равна …
то длина ее действительной полуоси равна …В пространстве имеется отрезок, соединяющий две точки с аппликатами разных знаков. Тогда этот отрезок обязательно пересекает …
Уравнением прямой, параллельной
, является …
, является …Упрощение выражения
приводит его к виду …
приводит его к виду …Радиус сходимости степенного ряда
равен 14. Тогда интервал сходимости имеет вид …
равен 14. Тогда интервал сходимости имеет вид …Дана функция
. Тогда ее областью значений является множество …
. Тогда ее областью значений является множество …Общий член последовательности
имеет вид …
имеет вид …
,
и
, тогда угол между векторами
и
равен …
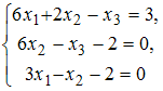
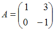
,
, тогда матрица
имеет вид …



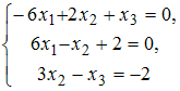
одновременно выполняются условия
.
в точке
равно …



по переменной
в точке
равна …