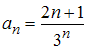
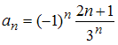
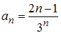
Общий член последовательности Изображение вопроса Общий член последовательности  имеет вид …... имеет вид …
• 
• 
• 
• 
Тема: Числовые последовательности
Предмет: Математика