Математика – страница 145
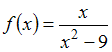
Функция
непрерывна на отрезке …
непрерывна на отрезке …Игральная кость бросается один раз. Тогда вероятность того, что число очков, выпавших на верхней грани, будет меньше трех, равна …
Собирается партия исправных изделий с двух предприятий. Первое предприятие поставляет 30% всех изделий, а второе – 70%. Вероятность исправной работы изделия первого предприятия равна 0,8, второго – 0,7. Тогда вероятность того, что случайно взятое изделие будет неисправным, равна …
В результате измерений некоторой физической величины одним прибором (без систематических ошибок) получены следующие результаты (в мм): 10, 12, 14. Тогда выборочная дисперсия равна …
Полярные координаты точки, симметричной точке
относительно полюса, равны …
относительно полюса, равны …Из урны, в которой лежат 4 белых и 6 черных шаров, наудачу по одному извлекают два шара без возвращения. Тогда вероятность того, что оба шара будут белыми, равна …
Из урны, в которой лежат 4 белых и 6 черных шаров, наудачу по одному извлекают два шара без возвращения. Тогда вероятность того, что оба шара будут черными, равна …
Градиент скалярного поля
равен …
равен …
:
равна …
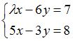
имеет единственное решение, если
не равно …
,
,
и
. Скалярное произведение векторов
и
будет равно
при
равном …
, удовлетворяющее условию
, имеет вид …
точка
является точкой …
,
и
, равен …