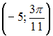
Полярные координаты точки, симметричной точке Изображение вопроса Полярные координаты точки, симметричной точке  отн... относительно полюса, равны …
• 
• 
• 
• 
Тема: Линейная алгебра и геометрия
Предмет: Математика