Математика – страница 113
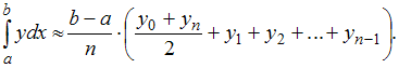
Для приближенного вычисления определенного интеграла от функции
на интервале
можно воспользоваться формулой трапеций

Интервал
разбили на 4 равные части и вычислили соответствующие приближенные значения
.

Тогда
…
на интервале
можно воспользоваться формулой трапеций
Интервал
разбили на 4 равные части и вычислили соответствующие приближенные значения
.
Тогда
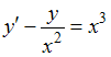
…Дифференциальное уравнение вида
называется
дифференциальным уравнением первого порядка. Для его решения используют подстановку:
тогда
Сделав подстановку в исходное уравнение, выносят за скобки
и выражение, стоящее в скобках, приравнивают к нулю. Из полученного уравнения находят v. Остается решить дифференциальное уравнение с разделяющимися переменными. Для дифференциального уравнения
функцию
находят из уравнения …
называетсядифференциальным уравнением первого порядка. Для его решения используют подстановку:
тогда
Сделав подстановку в исходное уравнение, выносят за скобки
и выражение, стоящее в скобках, приравнивают к нулю. Из полученного уравнения находят v. Остается решить дифференциальное уравнение с разделяющимися переменными. Для дифференциального уравнения
функцию
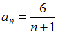
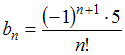
находят из уравнения …Установите соответствие между общими членами некоторых числовых рядов
и
и их пятыми членами.
1.
,
2.
и
и их пятыми членами.
1.
,2.

Для исследования числового ряда на сходимость
используется необходимый признак сходимости числового ряда
Тогда могут сходиться ряды …
используется необходимый признак сходимости числового ряда
Тогда могут сходиться ряды …Для приближенного решения дифференциального уравнения
с начальным условием
можно воспользоваться методом Эйлера:
. Тогда для уравнения
при начальном условии
с шагом
и точностью до сотых
равно …
с начальным условием
можно воспользоваться методом Эйлера:
. Тогда для уравнения
при начальном условии
с шагом
и точностью до сотых
равно …При вычислении значения выражения
данные в условии задачи значения
и
округлили до целых значений и получили:
Тогда абсолютная погрешность полученного результата равна …
данные в условии задачи значения
и
округлили до целых значений и получили:
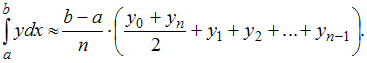
Тогда абсолютная погрешность полученного результата равна …Для приближенного вычисления определенного интеграла от функции
на интервале
можно воспользоваться формулой трапеций

Интервал
разбили на 4 равные части и вычислили соответствующие приближенные значения
.
Получили:
.
Тогда
…
на интервале
можно воспользоваться формулой трапеций
Интервал
разбили на 4 равные части и вычислили соответствующие приближенные значения
.Получили:
.Тогда
…Вычислили значение функции
при
и
получили
результат, равный 64. Известны относительные погрешности чисел 40 и 5:
Тогда относительная погрешность полученного результата равна …
при
и
получилирезультат, равный 64. Известны относительные погрешности чисел 40 и 5:
Тогда относительная погрешность полученного результата равна …Для приближенного вычисления значения функции y(x) в точке
можно использовать формулу
где
приращение функции в точке 
Функция y(x) определяется из условия задачи.
Значения
и
выбираются так, чтобы можно было вычислить
и при этом
, взятое по модулю, было бы как можно меньше.
Тогда приближенное значение выражения
равно …
можно использовать формулу
где
приращение функции в точке 
Функция y(x) определяется из условия задачи.
Значения
и
выбираются так, чтобы можно было вычислить
и при этом
, взятое по модулю, было бы как можно меньше.Тогда приближенное значение выражения
равно …Код замка состоит из 4 цифр: 1, 3, 5, 7. Каждая цифра встречается ровно один раз. Тогда максимальное количество замков с такими кодами равно …
Его частичная сумма
равна …
имеет на отрезке
наименьшее значение, равное …
и
и их пятыми членами.

