Дифференциальное уравнение вида
называется
дифференциальным уравнением первого порядка. Для его решения используют подстановку:
тогда
Сделав подстановку в исходное уравнение, выносят за скобки
и выражение, стоящее в скобках, приравнивают к нулю. Из полученного уравнения находят v. Остается решить дифференциальное уравнение с разделяющимися переменными. Для дифференциального уравнения
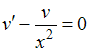
функцию
находят из уравнения …
называетсядифференциальным уравнением первого порядка. Для его решения используют подстановку:
тогда
Сделав подстановку в исходное уравнение, выносят за скобки
и выражение, стоящее в скобках, приравнивают к нулю. Из полученного уравнения находят v. Остается решить дифференциальное уравнение с разделяющимися переменными. Для дифференциального уравнения
функцию
находят из уравнения …• 

• 

• 

• 
