Математика – страница 112
Если в дифференциальном уравнении
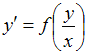
функцию
можно
записать в виде
, то дифференциальное уравнение
называется дифференциальным уравнением первого порядка с однородной правой частью. Подстановка
сводит решение этого уравнения к решению уравнения с разделяющимися переменными вида
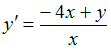
Для однородного уравнения
соответствующее уравнение с разделяющимися переменными будет иметь вид …
функцию
можнозаписать в виде
, то дифференциальное уравнение
называется дифференциальным уравнением первого порядка с однородной правой частью. Подстановка
сводит решение этого уравнения к решению уравнения с разделяющимися переменными вида
Для однородного уравнения
соответствующее уравнение с разделяющимися переменными будет иметь вид …3
…
…Скорость движения тела задана уравнением
. Тогда путь, пройденный телом за 3 секунды от начала движения, равен …
. Тогда путь, пройденный телом за 3 секунды от начала движения, равен …Для приближенного вычисления значения функции y(x) в точке 
можно использовать формулу:
где
приращение функции в точке
Функция y(x) определяется из условия задачи. Значения
и
выбираются так, чтобы можно было вычислить
и при этом
, взятое по модулю, было бы как можно меньше.
Тогда наилучшее приближенное значение выражения
равно …

можно использовать формулу:
где
приращение функции в точке
Функция y(x) определяется из условия задачи. Значения
и
выбираются так, чтобы можно было вычислить
и при этом
, взятое по модулю, было бы как можно меньше.Тогда наилучшее приближенное значение выражения
равно …Пароль состоит из 5 букв слова «тайна». Каждая буква может встречаться ровно один раз. Тогда максимальное количество возможных паролей равно …
В первой урне 2 белых и 3 черных шара, во второй − 4 белых и 6 черных шаров. Из каждой урны вынули по одному шару. Вероятность того, что оба вынутых шара будут белыми, равна …
В урне 10 шаров, имеющих номера: 1, 2, …, 10. Наугад вынутый шар имеет номер, меньший 4 с вероятностью, равной …
При вычислении значения выражения
данные в условии задачи значения
и
округлили до целых и получили: 
Тогда абсолютная погрешность полученного результата равна …
данные в условии задачи значения
и
округлили до целых и получили: 
Тогда абсолютная погрешность полученного результата равна …
Для приближенного решения дифференциального уравнения 
с начальным условием
можно воспользоваться методом Эйлера:

Тогда для уравнения
при начальном условии
с шагом
значение
с точностью до сотых равно …

с начальным условием
можно воспользоваться методом Эйлера:
Тогда для уравнения
при начальном условии
с шагом
значение
с точностью до сотых равно …Некоторая функция
задана в виде таблицы 
Если требуется найти значение производной данной функции
в некоторой точке то можно заменить данную, аналитическая запись которой неизвестна, некоторой другой функцией
для которой
и найти производную функции 
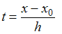
Если шаг таблицы h (разность между соседними значениями x) является величиной постоянной, то можно воспользоваться формулой
,
где
и
. Вычисления производите с двумя знаками после запятой. Для заданной в виде таблицы функции
значение
…
задана в виде таблицы 
Если требуется найти значение производной данной функции
в некоторой точке то можно заменить данную, аналитическая запись которой неизвестна, некоторой другой функцией
для которой
и найти производную функции 
Если шаг таблицы h (разность между соседними значениями x) является величиной постоянной, то можно воспользоваться формулой
,где
и
. Вычисления производите с двумя знаками после запятой. Для заданной в виде таблицы функции
значение
…Известно, что ребра прямоугольного параллелепипеда равны 103 см, 21 см и 98 см. Для упрощения вычислений эти числа округлили до 100 см,
20 см и 100 см соответственно.
Нашли объем:
(куб. см.)
Полученный результат имеет относительную погрешность, равную …
20 см и 100 см соответственно.
Нашли объем:
(куб. см.)Полученный результат имеет относительную погрешность, равную …
являются …
на отрезке
равно …
точка максимума
равна …
известна таблица ее значений
.
равна …