Если в дифференциальном уравнении
функцию
можно
записать в виде
, то дифференциальное уравнение
называется дифференциальным уравнением первого порядка с однородной правой частью. Подстановка
сводит решение этого уравнения к решению уравнения с разделяющимися переменными вида
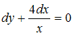
Для однородного уравнения
соответствующее уравнение с разделяющимися переменными будет иметь вид …
функцию
можнозаписать в виде
, то дифференциальное уравнение
называется дифференциальным уравнением первого порядка с однородной правой частью. Подстановка
сводит решение этого уравнения к решению уравнения с разделяющимися переменными вида
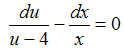
Для однородного уравнения
соответствующее уравнение с разделяющимися переменными будет иметь вид …• 

• 

• 

• 
