Математика – страница 105
Дана пропозициональная форма (ПФ)
,
при записи которой использовались альтернативные варианты обозначений:
и
.
Тогда применяя свойства логических операций, ПФ можно привести к равносильному, но более компактному виду …
,при записи которой использовались альтернативные варианты обозначений:
и
.Тогда применяя свойства логических операций, ПФ можно привести к равносильному, но более компактному виду …
Дискретная случайная величина
задана законом распределения вероятностей:

Тогда значения a, b и c могут быть равны …
задана законом распределения вероятностей:
Тогда значения a, b и c могут быть равны …
С первого станка на сборку поступает 20%, со второго – 35% , с третьего – 45% всех деталей. Среди деталей первого станка 90% стандартных, второго – 70%, а третьего – 80%. Тогда вероятность того, что взятая наудачу деталь окажется стандартной, равна …
В партии из 10 деталей имеется 8 стандартных. Наудачу отобраны четыре детали. Тогда вероятность того, что среди отобранных деталей три – стандартные, равна …
Проводится n независимых испытаний, в каждом из которых вероятность появления события A постоянна и равна 0,8. Тогда математическое ожидание дискретной случайной величины X – числа появлений события A в
проведенных испытаниях равно …
проведенных испытаниях равно …Пусть на множестве
задана операция "умножения", обозначенная символом
и представленная таблицей умножения.

В произведении
первый сомножитель указывает строку таблицы, второй множитель – столбец таблицы, а произведение стоит на пересечении строки и столбца, например,
.
Известно также, что эта операция удовлетворяет аксиоме ассоциативности.
Тогда алгебраическая структура
является …
задана операция "умножения", обозначенная символом
и представленная таблицей умножения.
В произведении
первый сомножитель указывает строку таблицы, второй множитель – столбец таблицы, а произведение стоит на пересечении строки и столбца, например,
.Известно также, что эта операция удовлетворяет аксиоме ассоциативности.
Тогда алгебраическая структура
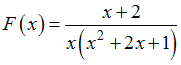
является …Разложение рациональной функции
на элементарные дроби имеет вид …
на элементарные дроби имеет вид …Дано множество матриц второго порядка над полем
. Тогда бинарной операцией на этом множестве является …
. Тогда бинарной операцией на этом множестве является …Истинностная функция
представлена своими СДНФ и СКНФ, причём при их записи использовались альтернативные обозначения:
и
.
В СДНФ утеряна одна конъюнкция, а в СКНФ – одна дизъюнкция (утерянные части подчёркнуты), т.е. даны следующие формы:
;
.
Известно, что в утерянную конъюнкцию входит символ
.
Тогда утеряны …
представлена своими СДНФ и СКНФ, причём при их записи использовались альтернативные обозначения:
и
.В СДНФ утеряна одна конъюнкция, а в СКНФ – одна дизъюнкция (утерянные части подчёркнуты), т.е. даны следующие формы:
;
.Известно, что в утерянную конъюнкцию входит символ
.Тогда утеряны …
Отображение
, где
– множество действительных чисел, определяется соотношением
(или
, где
).
Тогда прообразом множества
при отображении
служит множество …
, где
– множество действительных чисел, определяется соотношением
(или
, где
).Тогда прообразом множества
при отображении
служит множество …Неопределённый интеграл
равен …
равен …
– кольцо классов вычетов по модулю
.
равно …
равна …
уравнение кривой
приводится к каноническому виду …