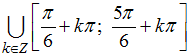
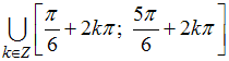
Отображение
, где
– множество действительных чисел, определяется соотношением
(или
, где
).
Тогда прообразом множества
при отображении
служит множество …
, где
– множество действительных чисел, определяется соотношением
(или
, где
).Тогда прообразом множества
при отображении
служит множество …•
,
– множество целых чисел
,
– множество целых чисел• 

• 

• 
