Математика – страница 103
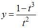
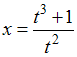
Кривая на плоскости задана уравнениями в параметрической форме:
,
.
Уравнения наклонных асимптот этой кривой представляются в виде
.
Тогда сумма угловых коэффициентов асимптот кривой равна …
,
.Уравнения наклонных асимптот этой кривой представляются в виде
.Тогда сумма угловых коэффициентов асимптот кривой равна …
Многочлен
над полем комплексных чисел представлен разложением
.
Корень многочлена
имеет кратность 3, если a равно …
над полем комплексных чисел представлен разложением
.Корень многочлена
имеет кратность 3, если a равно …На множестве
определены бинарные алгебраические операции, обозначенные символами
и
, тогда операция
дистрибутивна относительно операции
, если …
определены бинарные алгебраические операции, обозначенные символами
и
, тогда операция
дистрибутивна относительно операции
, если …Центром кривизны параболы
в начале координат является точка …
в начале координат является точка …На рисунке показаны следующие множества: основное (универсальное) множество
и его подмножества
,
и
(соответствующие прямоугольные области на плоскости).

Тогда закрашенное подмножество есть …
и его подмножества
,
и
(соответствующие прямоугольные области на плоскости).
Тогда закрашенное подмножество есть …
Точечная оценка математического ожидания нормально распределенного количественного признака равна 15. Тогда его интервальная оценка может иметь вид …
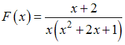
Разложение рациональной функции
на элементарные дроби имеет вид …
на элементарные дроби имеет вид …
и
определяют две кривые на плоскости.
…
имеют вид …
над полем комплексных чисел представлен разложением
.
имеет кратность …
и
, тогда поле образуют множество матриц вида …
имеет корнями числа
и
при C, равном …
при
равна …