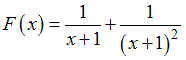
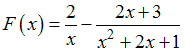
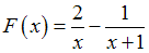
Разложение рациональной функции Изображение вопроса Разложение рациональной функции  на элементарные д... на элементарные дроби имеет вид …
• 
• 
• 
• 
Тема: Рациональные функции
Предмет: Математика