Математика и информатика – страница 45
Из цифр числа 4689 можно составить различные трехзначные числа, в которых цифры не повторяются. Всего таких чисел будет…
Даны два множества:
– интервал числовой оси;
– отрезок числовой оси. Тогда для них истинными высказываниями являются…
– интервал числовой оси;
– отрезок числовой оси. Тогда для них истинными высказываниями являются…Установите соответствие между множествами и верными для них высказываниями.
1. А – множество натуральных чисел, кратных 3; В – множество натуральных чисел, не кратных 3
2. А – множество натуральных чисел, кратных 6; В – множество натуральных чисел, кратных 2
3. А – множество натуральных чисел, кратных 2; В – множество четных натуральных чисел
1. А – множество натуральных чисел, кратных 3; В – множество натуральных чисел, не кратных 3
2. А – множество натуральных чисел, кратных 6; В – множество натуральных чисел, кратных 2
3. А – множество натуральных чисел, кратных 2; В – множество четных натуральных чисел
Число различных перестановок из букв слова «зачет», в которых буква «з» стоит на первом месте, а буква «т» на последнем месте, равно…
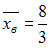
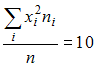
По выборке объема
вычислены выборочная средняя
и
. Тогда несмещенная (исправленная) выборочная дисперсия равна …
вычислены выборочная средняя
и
. Тогда несмещенная (исправленная) выборочная дисперсия равна …Из 31 дня июля 10 дней были дождливыми. Тогда относительная частота дождливых дней в июле равна …
Принят уровень значимости, равный 0,05. Это означает, что из 100 случаев имеется риск отвергнуть правильную гипотезу …
Подбрасывается игральный кубик. Подсчитывается число очков, выпавших на верхней грани кубика. Пусть дискретная случайная величина X – число выпавших очков на верхней грани кубика. Тогда вероятности ее возможных значений равны одному и тому же числу …
Пусть случайная величина X имеет
,
. Тогда среднеквадратическое отклонение случайной величины X равно…
,
. Тогда среднеквадратическое отклонение случайной величины X равно…
, равном …
и
. Тогда истинными высказываниями являются…

