Математика и информатика – страница 24
На железнодорожной станции имеется 3 светофора, каждый из которых может находиться в одном из двух состояний. Тогда количество различных комбинаций их сигналов равно …
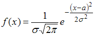
Нормальным является распределение случайной величины
, плотность вероятности которого описывается функцией
. Тогда плотность распределения нормально распределенной случайной величины с математическим ожиданием
и дисперсией
имеет вид …
, плотность вероятности которого описывается функцией
. Тогда плотность распределения нормально распределенной случайной величины с математическим ожиданием
и дисперсией
имеет вид …Бросают два игральных кубика. Вероятность того, что сумма, выпавших очков меньше 6, равна …
В качестве имен переменных в языках высокого уровня нельзя использовать ________ слова.
Принтер признается не подлежащим ремонту при двух различных поломках. Вероятность поломки первого вида 0,2, а поломки второго вида 0,4. Поломки могут произойти как одновременно, так и отдельно. Вероятность списывания принтера, ввиду невозможности ремонта, равна …
В программе на языке программирования Pascal раздел операторов начинается со служебного слова …
Алгоритм задан блок-схемой:

Переменная
окажется меньше
в результате выполнения представленного алгоритма, если Условием и Командой 3 будут …

Переменная
окажется меньше
в результате выполнения представленного алгоритма, если Условием и Командой 3 будут …Из 3 карточек с цифрами 1, 2, 3 случайным образом собирают трехзначное число. Тогда вероятность того, что составленное число является четным, равна …
Математическое ожидание дискретной случайной величины
, заданной законом распределения
,
где
, равно
. Тогда
равно …
, заданной законом распределения
,где
, равно
. Тогда
равно …Вкладке «Дизайн» приложения Microsoft PowerPoint 2007 не принадлежит группа команд …