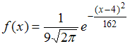
Нормальным является распределение случайной величины
, плотность вероятности которого описывается функцией
. Тогда плотность распределения нормально распределенной случайной величины с математическим ожиданием
и дисперсией
имеет вид …
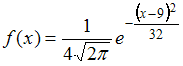
, плотность вероятности которого описывается функцией
. Тогда плотность распределения нормально распределенной случайной величины с математическим ожиданием
и дисперсией
имеет вид …• 

• 

• 

• 
