Математический анализ – страница 3
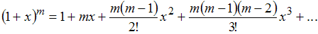
Разложение в ряд Маклорена функции
имеет вид:

Тогда для функции
, коэффициент
разложения данной функции в ряд Маклорена равен …
имеет вид:
Тогда для функции
, коэффициент
разложения данной функции в ряд Маклорена равен …На отрезке
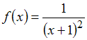
непрерывна функция …
непрерывна функция …Вертикальная асимптота графика функции
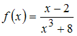
задается уравнением вида …
задается уравнением вида …Не является непрерывной на отрезке
функция …
функция …Функция
задана в параметрическом виде
Тогда производная первого порядка функции
по переменной
имеет вид …
задана в параметрическом виде
Тогда производная первого порядка функции
по переменной
имеет вид …Функция издержек производителя имеет вид
где x – объем производимой продукции. Весь товар реализуется по фиксированной цене 6 у.е.
Тогда функция прибыли производителя имеет вид …
где x – объем производимой продукции. Весь товар реализуется по фиксированной цене 6 у.е.Тогда функция прибыли производителя имеет вид …
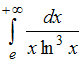
Предел
равен …
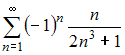
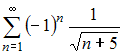
равен …Сумма числового ряда
равна …
равна …Функция издержек производителя имеет вид
где x – объем производимой продукции. Весь товар реализуется по фиксированной цене 10 у.е.
Тогда функция прибыли производителя имеет вид …
где x – объем производимой продукции. Весь товар реализуется по фиксированной цене 10 у.е.Тогда функция прибыли производителя имеет вид …
при
равно …
,
.
…
функции
имеет вид …
функции
имеет вид …