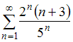
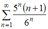
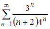
Расходящимся является числовой ряд …
• 
• 
• 
• 
Тема: Числовые, функциональные и степенные ряды
Предмет: Математический анализ