Физика – страница 70
Наблюдается явление внешнего фотоэффекта. При этом с увеличением длины волны падающего света …
Если в электромагнитной волне, распространяющейся в вакууме, значения напряженности электрического и магнитного полей равны соответственно:
,
, то плотность потока энергии (в
) составляет …
,
, то плотность потока энергии (в
) составляет …Заряд равен 0; масса в единицах массы электрона составляет 1836,2; спин в единицах
равен 1/2 – это основные характеристики …
равен 1/2 – это основные характеристики …Установите соответствие между видами фундаментальных взаимодействий и переносчиками этих взаимодействий.
1. Электромагнитное
2. Сильное
3. Слабое
4. Гравитационное
1. Электромагнитное
2. Сильное
3. Слабое
4. Гравитационное
Через блок в виде диска перекинута невесомая нерастяжимая нить, к концам которой подвешены грузы одинаковой массы (машина Атвуда). Если к правому грузу добавить перегрузок № 1,
грузы будут двигаться с ускорением ________ м/с2.
грузы будут двигаться с ускорением ________ м/с2.
Через блок в виде диска перекинута невесомая нерастяжимая нить, к концам которой подвешены грузы одинаковой массы (машина Атвуда). Если к правому грузу добавить перегрузок № 1,
в конце пути 0,4 м грузы будут иметь скорость ________ м/с.
в конце пути 0,4 м грузы будут иметь скорость ________ м/с.
Через блок в виде диска перекинута невесомая нерастяжимая нить, к концам которой подвешены грузы одинаковой массы (машина Атвуда). Если к правому грузу добавить перегрузок № 1,
масса которого
, а масса большого груза
, то сила натяжения нити при движении будет равна _______ Н.
масса которого
, а масса большого груза
, то сила натяжения нити при движении будет равна _______ Н.Прямоугольная проволочная рамка помещена в однородное магнитное поле так, что плоскость рамки перпендикулярна полю.

В рамке возникнет индукционный ток …

В рамке возникнет индукционный ток …
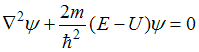
Стационарное уравнение Шредингера в общем случае имеет вид
, где
потенциальная энергия микрочастицы. Движение частицы вдоль оси ОХ под действием квазиупругой силы описывает уравнение …
, где
потенциальная энергия микрочастицы. Движение частицы вдоль оси ОХ под действием квазиупругой силы описывает уравнение …Складываются два гармонических колебания одного направления с одинаковыми частотами и равными амплитудами
Установите соответствие между разностью фаз складываемых колебаний и амплитудой результирующего колебания.
1.
2.
3. 0
Установите соответствие между разностью фаз складываемых колебаний и амплитудой результирующего колебания.1.

2.

3. 0
На рисунке приведен график зависимости скорости тела
от времени t.

Масса тела
. Сила (в
), действующая на тело, равна…
от времени t. 
Масса тела
. Сила (в
), действующая на тело, равна…На зеркальную поверхность направляют поочередно поток одинаковой интенсивности фиолетовых, зеленых, желтых, красных лучей. Давление света на эту поверхность будет наименьшим для лучей ______ цвета.
Через блок, массой которого можно пренебречь, перекинута невесомая нерастяжимая нить, к концам нити подвешены грузы одинаковой массы (машина Атвуда). Если к правому грузу добавить перегрузок № 1, то …
на пути 0,7 м грузы будут двигаться с ускорением ________ м/с2.
на пути 0,7 м грузы будут двигаться с ускорением ________ м/с2.
содержат …