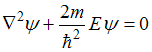
Нестационарным уравнением Шредингера является уравнение …
• 
• 
• 
• 
Тема: Уравнения Шредингера
Предмет: Физика