Физика – страница 38
На рисунке представлены две вольтамперные характеристики вакуумного фотоэлемента. Если
– освещенность фотокатода, а
– длина волны падающего на него света, то справедливо утверждение …

– освещенность фотокатода, а
– длина волны падающего на него света, то справедливо утверждение …
Кривая дисперсии в области одной из полос поглощения имеет вид, показанный на рисунке:

Нормальная дисперсия имеет место в области частот …

Нормальная дисперсия имеет место в области частот …
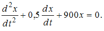
Маятник совершает колебания, которые подчиняются дифференциальному уравнению
Время релаксации равно _____ c.
Время релаксации равно _____ c.Уравнение плоской синусоидальной волны, распространяющейся вдоль оси OХ, имеет вид
. Тогда скорость распространения волны (в
) равна …
. Тогда скорость распространения волны (в
) равна …Катод вакуумного фотоэлемента освещается светом с энергией квантов 10 эВ. Если фототок прекращается при подаче на фотоэлемент задерживающего напряжения 4 В, то работа выхода электронов из катода (в эВ) равна …
Кривая дисперсии для некоторого вещества в области одной из полос поглощения имеет вид, показанный на рисунке:

Групповая скорость
света в веществе больше фазовой скорости
для области частот …

Групповая скорость
света в веществе больше фазовой скорости
для области частот …Плоская световая волна (
) падает нормально на диафрагму с круглым отверстием, радиус которого
. Отверстие открывает только одну зону Френеля для точки, лежащей на оси отверстия на расстоянии (в
) от него, равном …
) падает нормально на диафрагму с круглым отверстием, радиус которого
. Отверстие открывает только одну зону Френеля для точки, лежащей на оси отверстия на расстоянии (в
) от него, равном …Сплошной цилиндр и шар, имеющие одинаковые массы и радиусы, вкатываются без проскальзывания с одинаковыми скоростями на горку. Если трением и сопротивлением воздуха можно пренебречь, то отношение высот
, на которые смогут подняться эти тела, равно …
, на которые смогут подняться эти тела, равно …Диск вращается вокруг вертикальной оси в направлении, указанном на рисунке белой стрелкой. К ободу диска приложена сила
, направленная по касательной.

Правильно изображает направление момента силы
вектор …
, направленная по касательной.
Правильно изображает направление момента силы
вектор …Предмет движется со скоростью 0,6 с (с – скорость света в вакууме). Тогда его длина для наблюдателя в неподвижной системе отсчета _____%.
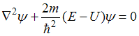
Стационарное уравнение Шредингера в общем случае имеет вид
. Здесь
потенциальная энергия микрочастицы. Движение частицы вдоль оси ОХ под действием квазиупругой силы описывает уравнение …
. Здесь
потенциальная энергия микрочастицы. Движение частицы вдоль оси ОХ под действием квазиупругой силы описывает уравнение …В результате туннельного эффекта вероятность прохождения частицей потенциального барьера увеличивается с …
На рисунке изображены сечения двух параллельных прямолинейных длинных проводников с одинаково направленными токами, причем
:

Индукция
результирующего магнитного поля равна нулю в некоторой точке интервала …
:
Индукция
результирующего магнитного поля равна нулю в некоторой точке интервала …Сопротивление
катушка индуктивности
и конденсатор
соединены последовательно и подключены к источнику переменного напряжения, изменяющегося по закону
(В). Установите соответствие между сопротивлениями различных элементов цепи и их численными значениями.
1. Активное сопротивление
2. Индуктивное сопротивление
3. Емкостное сопротивление
катушка индуктивности
и конденсатор
соединены последовательно и подключены к источнику переменного напряжения, изменяющегося по закону
(В). Установите соответствие между сопротивлениями различных элементов цепи и их численными значениями.1. Активное сопротивление
2. Индуктивное сопротивление
3. Емкостное сопротивление
На рисунке дана схема энергетических уровней атома водорода.

Наименьшая длина волны спектральной линии (в нм) серии Пашена равна _____ .
(h = 6,63·10-34 Дж·с)

Наименьшая длина волны спектральной линии (в нм) серии Пашена равна _____ .
(h = 6,63·10-34 Дж·с)