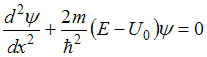
Стационарное уравнение Шредингера в общем случае имеет вид
. Здесь
потенциальная энергия микрочастицы. Движение частицы вдоль оси ОХ под действием квазиупругой силы описывает уравнение …
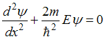
. Здесь
потенциальная энергия микрочастицы. Движение частицы вдоль оси ОХ под действием квазиупругой силы описывает уравнение …• 

• 

• 

• 
