Физика – страница 37
Если в электромагнитной волне, распространяющейся в среде с показателем преломления
, значения напряженностей электрического и магнитного полей соответственно равны
, то объемная плотность энергии составляет _____ 
, значения напряженностей электрического и магнитного полей соответственно равны
, то объемная плотность энергии составляет _____ 
Шарик, прикрепленный к пружине (пружинный маятник) и насаженный на горизонтальную направляющую, совершает гармонические колебания.

На графике представлена зависимость проекции силы упругости пружины на положительное направление оси Х от координаты шарика.

В положении О энергия пружинного маятника (в мДж) равна …

На графике представлена зависимость проекции силы упругости пружины на положительное направление оси Х от координаты шарика.

В положении О энергия пружинного маятника (в мДж) равна …
На рисунке представлен профиль поперечной упругой бегущей волны, распространяющейся со скоростью
. Циклическая частота волны равна …

. Циклическая частота волны равна …
Мыльный пузырь имеет зеленую окраску (
) в области точки, ближайшей к наблюдателю. Если показатель преломления мыльной воды
то минимальная толщина пузыря в указанной области равна …
) в области точки, ближайшей к наблюдателю. Если показатель преломления мыльной воды
то минимальная толщина пузыря в указанной области равна …Параллельный пучок света с длиной волны
падает на зачерненную поверхность по нормали к ней. Если концентрация фотонов в пучке составляет
то давление света на поверхность равно _____ . (Ответ выразите в мкПа и округлите до целого числа).
падает на зачерненную поверхность по нормали к ней. Если концентрация фотонов в пучке составляет
то давление света на поверхность равно _____ . (Ответ выразите в мкПа и округлите до целого числа).Стационарное уравнение Шредингера
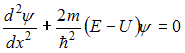
описывает линейный гармонический осциллятор, если потенциальная энергия
имеет вид …
описывает линейный гармонический осциллятор, если потенциальная энергия
имеет вид …КПД цикла Карно равен 60%. Если на 20% уменьшить температуру нагревателя и на 20% увеличить температуру холодильника, КПД (в %) достигнет значения …
Два маленьких массивных шарика закреплены на невесомом длинном стержне на расстоянии
друг от друг, как показано на рисунке: 
Стержень вращается без трения в горизонтальной плоскости вокруг вертикальной оси, проходящей посередине между шариками, с угловой скоростью
. Если шарики раздвинуть симметрично на расстояние
, то угловая скорость
будет равна …
друг от друг, как показано на рисунке: 
Стержень вращается без трения в горизонтальной плоскости вокруг вертикальной оси, проходящей посередине между шариками, с угловой скоростью
. Если шарики раздвинуть симметрично на расстояние
, то угловая скорость
будет равна …Потенциальная энергия частицы в некотором силовом поле задана функцией
. Работа потенциальной силы (в Дж) по перемещению частицы из точки В (1, 1, 1) в точку С (2, 2, 2) равна …
(Функция
и координаты точек заданы в единицах СИ.)
. Работа потенциальной силы (в Дж) по перемещению частицы из точки В (1, 1, 1) в точку С (2, 2, 2) равна …(Функция
и координаты точек заданы в единицах СИ.)Резистор с сопротивлением
, катушка с индуктивностью
и конденсатор с емкостью
соединены последовательно и подключены к источнику переменного напряжения, изменяющегося по закону
.
Установите соответствие между элементом цепи и эффективным значением напряжения на нем.
1. Сопротивление
2. Катушка индуктивности
3. Конденсатор
, катушка с индуктивностью
и конденсатор с емкостью
соединены последовательно и подключены к источнику переменного напряжения, изменяющегося по закону
.Установите соответствие между элементом цепи и эффективным значением напряжения на нем.
1. Сопротивление
2. Катушка индуктивности
3. Конденсатор
На рисунке схематически изображен цикл Карно в координатах
:

Уменьшение энтропии имеет место на участке …
:
Уменьшение энтропии имеет место на участке …
Газ занимает объем 5 л под давлением 2 МПа. При этом кинетическая энергия поступательного движения всех его молекул равна …
В некоторой области пространства создано электростатическое поле, потенциал которого описывается функцией
. Вектор напряженности электрического поля в точке пространства, показанной на рисунке, будет иметь направление …

. Вектор напряженности электрического поля в точке пространства, показанной на рисунке, будет иметь направление …
На рисунке показана зависимость силы тока в электрической цепи от времени:

Отношение заряда, прошедшего через поперечное сечение проводника за двадцать секунд, к заряду, прошедшему за последние пять секунд, равно …

Отношение заряда, прошедшего через поперечное сечение проводника за двадцать секунд, к заряду, прошедшему за последние пять секунд, равно …
На рисунке представлена зависимость ЭДС индукции в контуре от времени. Магнитный поток сквозь площадку, ограниченную контуром, увеличивается со временем по линейному закону в интервале …

