Два маленьких массивных шарика закреплены на невесомом длинном стержне на расстоянии
друг от друг, как показано на рисунке: 
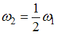
Стержень вращается без трения в горизонтальной плоскости вокруг вертикальной оси, проходящей посередине между шариками, с угловой скоростью
. Если шарики раздвинуть симметрично на расстояние
, то угловая скорость
будет равна …
друг от друг, как показано на рисунке: 
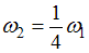
Стержень вращается без трения в горизонтальной плоскости вокруг вертикальной оси, проходящей посередине между шариками, с угловой скоростью
. Если шарики раздвинуть симметрично на расстояние
, то угловая скорость
будет равна …• 

• 

• 

• 
