Физика – страница 18
На рисунке изображен вектор скорости движущегося электрона:

Вектор магнитной индукции
поля, создаваемого электроном при движении, в точке С направлен …

Вектор магнитной индукции
поля, создаваемого электроном при движении, в точке С направлен …Если протон и дейтрон прошли одинаковую ускоряющую разность потенциалов, то отношение их длин волн де Бройля равно …
На рисунке схематически изображены стационарные орбиты электрона в атоме водорода согласно модели Бора, а также показаны переходы электрона с одной стационарной орбиты на другую, сопровождающиеся излучением кванта энергии. В ультрафиолетовой области спектра эти переходы дают серию Лаймана, в видимой – серию Бальмера, в инфракрасной – серию Пашена.

Наибольшей частоте кванта в серии Пашена (для переходов, представленных на рисунке) соответствует переход …

Наибольшей частоте кванта в серии Пашена (для переходов, представленных на рисунке) соответствует переход …
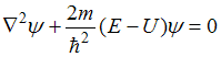
Стационарное уравнение Шредингера в общем случае имеет вид
. Здесь
потенциальная энергия микрочастицы. Движение частицы в трехмерном бесконечно глубоком потенциальном ящике описывает уравнение …
. Здесь
потенциальная энергия микрочастицы. Движение частицы в трехмерном бесконечно глубоком потенциальном ящике описывает уравнение …Момент импульса электрона в атоме и его пространственные ориентации могут быть условно изображены векторной схемой, на которой длина вектора пропорциональна модулю орбитального момента импульса
электрона. На рисунке приведены возможные ориентации вектора
.

Минимальное значение главного квантового числа n для указанного состояния равно …
электрона. На рисунке приведены возможные ориентации вектора
.
Минимальное значение главного квантового числа n для указанного состояния равно …
Электростатическое поле создано системой точечных зарядов.

Вектор напряженности
поля в точке А ориентирован в направлении …

Вектор напряженности
поля в точке А ориентирован в направлении …Сила тока в проводящем круговом контуре индуктивностью 100 мГн изменяется с течением времени по закону
(в единицах СИ):

Абсолютная величина ЭДС самоиндукции в момент времени 2 с равна ____ ; при этом индукционный ток направлен …
(в единицах СИ):
Абсолютная величина ЭДС самоиндукции в момент времени 2 с равна ____ ; при этом индукционный ток направлен …
Птица сидит на проводе линии электропередачи, сопротивление которого 2,5·10-5 Ом на каждый метр длины. Если по проводу течет ток силой 2 кА, а расстояние между лапами птицы составляет 5 см, то птица находится под напряжением …
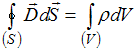
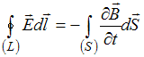
Уравнения Максвелла являются основными законами классической макроскопической электродинамики, сформулированными на основе обобщения важнейших законов электростатики и электромагнетизма. Эти уравнения в интегральной форме имеют вид:
1).
;
2).
;
3).
;
4).
0.
Четвертое уравнение Максвелла является обобщением …
1).
;2).
;3).
;4).
0.Четвертое уравнение Максвелла является обобщением …
На рисунке показаны траектории заряженных частиц, с одинаковой скоростью влетающих в однородное магнитное поле, перпендикулярное плоскости рисунка. При этом для зарядов и удельных зарядов частиц верным является утверждение …


При комнатной температуре отношение
молярных теплоемкостей при постоянном давлении и постоянном объеме равно
для …
молярных теплоемкостей при постоянном давлении и постоянном объеме равно
для …Зависимости давления
идеального газа во внешнем однородном поле силы тяжести от высоты
для двух разных температур представлены на рисунке.

Для графиков этих функций неверными являются утверждения, что …
идеального газа во внешнем однородном поле силы тяжести от высоты
для двух разных температур представлены на рисунке.
Для графиков этих функций неверными являются утверждения, что …
14 На (P,V)-диаграмме изображены 2 циклических процесса.

Отношение работ
, совершенных в этих циклах, равно …

Отношение работ
, совершенных в этих циклах, равно …На рисунке схематически изображен цикл Карно в координатах
:

Увеличение энтропии имеет место на участке …
:
Увеличение энтропии имеет место на участке …