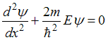
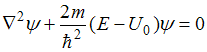
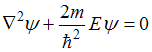
Стационарное уравнение Шредингера в общем случае имеет вид
. Здесь
потенциальная энергия микрочастицы. Движение частицы в трехмерном бесконечно глубоком потенциальном ящике описывает уравнение …
. Здесь
потенциальная энергия микрочастицы. Движение частицы в трехмерном бесконечно глубоком потенциальном ящике описывает уравнение …• 

• 

• 

• 
