Электротехника и электроника – страница 8
При токе
напряжение на нелинейном элементе равно
При возрастании тока на
напряжение становится равным
Дифференциальное сопротивление элемента при напряжении
приблизительно равно …
напряжение на нелинейном элементе равно
При возрастании тока на
напряжение становится равным
Дифференциальное сопротивление элемента при напряжении
приблизительно равно …4 
При
,
радиан полное Z и активное R сопротивления двухполюсника соответственно равны ____ Ом, ____ Ом.

При
,
радиан полное Z и активное R сопротивления двухполюсника соответственно равны ____ Ом, ____ Ом.Мощность, потребляемая идеализированной катушкой с ферромагнитным сердечником, затрачивается на покрытие …
Если частота синусоидального тока
то его период Т равен ____ мс.
то его период Т равен ____ мс.9 
На рисунке изображена ______________ характеристика усилителя напряжения с резистивно-емкостной связью.

На рисунке изображена ______________ характеристика усилителя напряжения с резистивно-емкостной связью.
14 
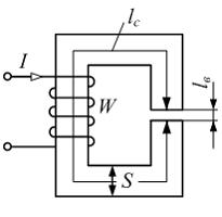
В изображенной магнитной цепи с заданной таблицей кривой намагничивания

при
, средней длине магнитной линии в ферромагнитном участке
– магнитное напряжение на ферромагнитном участке 

В изображенной магнитной цепи с заданной таблицей кривой намагничивания

при
, средней длине магнитной линии в ферромагнитном участке
– магнитное напряжение на ферромагнитном участке 
Магнитопроводы электромагнитных устройств не выполняют из …

источника равно …

то ток I источника равен ___ А.