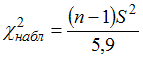
Наблюдаемое значение статистики критерия проверки гипотезы
о равенстве неизвестной генеральной дисперсии нормальной совокупности гипотетическому (предполагаемому) значению
может иметь вид …
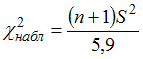
о равенстве неизвестной генеральной дисперсии нормальной совокупности гипотетическому (предполагаемому) значению
может иметь вид …• 

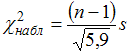
• 

• 

• 
