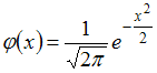
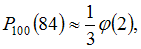
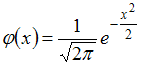
Вероятность появления некоторого события в каждом из 100 независимых испытаний постоянна и равна 0,9. Тогда вероятность того, что событие появится ровно 84 раза, следует вычислять как …
•
где
– функция Лапласа
где
– функция Лапласа•
где
– функция Лапласа
где
– функция Лапласа•
где 
где 
•
где 
где 