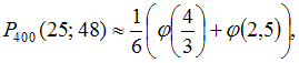
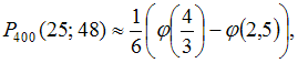
В среднем 10% потенциальных покупателей уходят из обувного магазина с покупками. За день магазин посетило 400 человек. Тогда вероятность того, что покупки совершат не менее 25, но не более 48 человек, следует вычислять как …
•
где 
где 
•
где
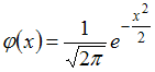
– функция Лапласа
где
– функция Лапласа•
где
– функция Лапласа
где
– функция Лапласа•
где 
где 