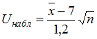
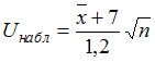
Наблюдаемое значение статистики критерия проверки гипотезы
о равенстве генеральной средней нормальной совокупности гипотетическому значению 7 при известной дисперсии
имеет вид …
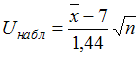
о равенстве генеральной средней нормальной совокупности гипотетическому значению 7 при известной дисперсии
имеет вид …• 

• 

• 

• 
