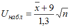
Наблюдаемое значение статистики критерия проверки гипотезы
о равенстве генеральной средней нормальной совокупности гипотетическому значению 9 при известной дисперсии
имеет вид …
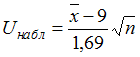
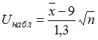
о равенстве генеральной средней нормальной совокупности гипотетическому значению 9 при известной дисперсии
имеет вид …• 

• 

• 

• 
