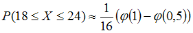
Вероятность появления некоторого события в каждом из 100 независимых испытаний постоянна и равна 0,2. Тогда вероятность того, что событие появится не менее 18 и не более 24 раз, следует вычислять как …
•
, где 
, где 
•
, где
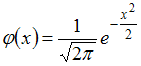
– функция Лапласа
, где
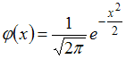
– функция Лапласа•
, где 
, где 
•
, где
– функция Лапласа
, где
– функция Лапласа