Всхожесть семян некоторого растения составляет 90 %. Тогда вероятность того, что из 400 посаженных семян взойдут ровно 355, следует вычислять как …
•
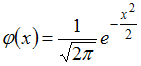
где
– функция Лапласа
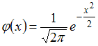
где
– функция Лапласа•
где 
где 
•
где 
где 
•
где
– функция Лапласа
где
– функция Лапласа